提供整体锂电设备解决方案 电池整套实验设备生产制造企业
热情欢迎您来电咨询电池设备相关问题!

咨询电话:400-027-6118

应用中心

开拓、创新,立足市场求发展;优质、高效,用心服务为用户!

Development, innovation, market development based on the market; high quality, high efficiency, attentive service for the user!

> 您当前的位置:  主页 > 技术支持 > 应用中心 >

欢迎咨询服务热线:
400-027-6118
027-63499883

电子邮箱:[email protected]

详细地址:武汉东湖新技术开发区光谷大道3号

铝掺杂的硅半导体中载流子含量的测定方法
信息来源:武汉格瑞斯新能源科技有限公司 发布时间:2018-04-14 14:47 浏览次数:
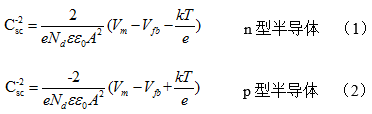
    1.Mott-Schottky曲线法
      CS系列电化学工作站可用于半导体或钝化膜Mott-Schottky图的测试。通过在不同直流电位下分别叠加一固定幅值和固定频率的交流扰动信号,测得不同直流电位下的阻抗值,并根据阻抗虚部来计算耗尽区电容Csc ,最后按公式(1或2)计算并绘制Mott-Schottky图,并据此计算半导体或钝化膜材料中的载流子浓度,确定材料半导体特征。
Mott-Schottky 公式:
      式中, Vfb为平带电位(flat band potential), Nd和 Na分别是施主(donor)和受主(accepter)载流子浓度, ε为相对介电常数, ε0为真空介电常数, A 为电极表面积, k为Boltaman常数, T为绝对温度, e为电荷电量。
      Csc可根据公式(3)计算
(3)
      其中Z” 为阻抗虚部, f为正弦波频率。
      阻抗-电位扫描介绍
      将电解池装置连接到CS350电化学工作站上,从corrTest软件中选择“P阻抗-电位扫描”测试方法,并按图1所示进行参数设置(仅供参考):